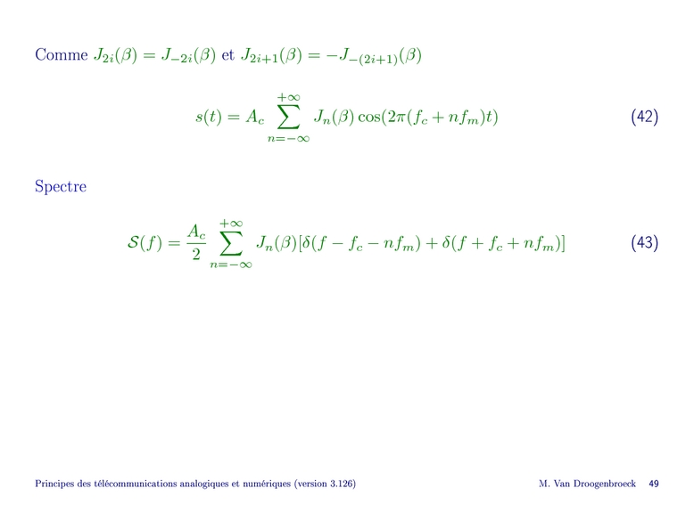
slide
Principe des télécommunications analogiques et numériques - 50/232