7.4 Multiplexage par répartition de codes

Le principe de base est celui de l'étalement de spectre. Le multiplexage par répartition de codes ne nécessite ni une allocation fixe des fréquences comme en FDM, ni un séquencement strict comme en TDM, comme le montre la figure 7.14.

Figure: Multiplexage de ressources par répartition de code (Code Division Multiple Access).
6523  

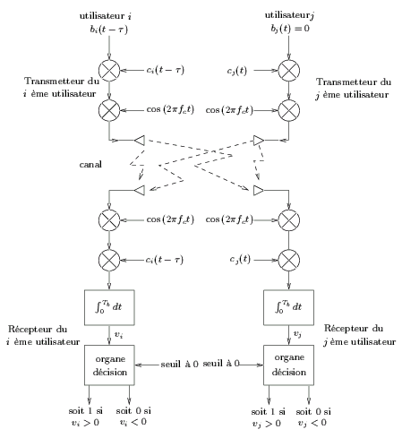
Le facteur limitatif le plus important est celui des intercorrélations entre utilisateurs dès lors que les utilisateurs recourent à des codes distincts. Considérons, pour l'analyse, la situation de la figure 7.15.

Figure 7.15: Schéma d'analyse pour l'intercorrélation des séquences étalées.
6533  

On prend le cas le plus défavorable de deux utilisateurs i et j parfaitement en phase et travaillant à la même fréquence. On cherche à déterminer l'effet d'interférence dû à l'utilisateur i à la sortie du récepteur j . Soit bi(t) la séquence (en forme bipolaire -1,  + 1 ) de l'utilisateur i . Soit un décalage $ \tau$ entre les horloges de référence des deux utilisateurs. On montre aisément que l'interférence de i à l'entrée de l'organe de décision de j vaut

$\displaystyle \left.\vphantom{v_{j}(\tau)}\right.$vj($\displaystyle \tau$)$\displaystyle \left.\vphantom{v_{j}(\tau)}\right\vert _{{b_{j}(t)=0}}^{}$ = $\displaystyle \int_{{0}}^{{T_{b}}}$bi(t - $\displaystyle \tau$)cj(t)ci(t - $\displaystyle \tau$)dt (7.6)
  = $\displaystyle \pm$$\displaystyle \int_{{0}}^{{T_{b}}}$cj(t)ci(t - $\displaystyle \tau$)dt (7.7)

On peut choisir de réécrire cette équation sous la forme

$\displaystyle \left.\vphantom{v_{j}(\tau)}\right.$vj($\displaystyle \tau$)$\displaystyle \left.\vphantom{v_{j}(\tau)}\right\vert _{{b_{j}(t)=0}}^{}$ = $\displaystyle \pm$Tb$\displaystyle \Gamma_{{ji}}^{}$($\displaystyle \tau$) (7.8)

$\displaystyle \Gamma_{{ji}}^{}$($\displaystyle \tau$) = $\displaystyle {\frac{{1}}{{T_{b}}}}$$\displaystyle \int_{{0}}^{{T_{b}}}$cj(t)ci(t - $\displaystyle \tau$)dt (7.9)

Cette moyenne temporelle est appelée fonction d'intercorrélation partielle. Pour avoir une interférence nulle, il faudrait que cette fonction soit nulle pour toute valeur $ \tau$ . En général, les séquences à longueur maximale n'ont pas de bonnes propriétés d'intercorrélation partielle comme le montre la figure 7.16; la fonction d'intercorrélation est loin d'être nulle pour toute valeur de $ \tau$ .

Figure: Fonction d'intercorrélation de deux séquences pseudo-aléatoires de période N = 63 ([6, 1] et [6, 5, 2, 1] ) (d'après [15, page 608]).
6575  



Sous-sections
Marc Van Droogenbroeck. Tous droits réservés.
2007-10-27